串联谐振耐压设备根据试验要求的选择方法
谐振式耐压设备的选择:
般试品为容性,所以选配电抗器达到谐振目的。
1)电压的选择:
根据试品对试验电压的要求,选择电抗器、分压器的额定电压,电抗器、分压器的额定电压要高于试验电压。2)电流和电感的选择:
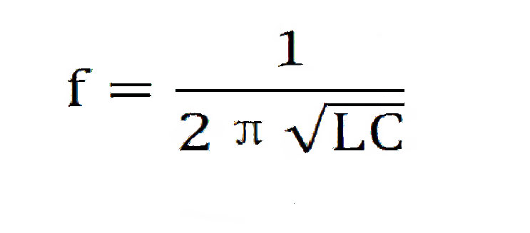
首先应确定试品对试验频率的要求,例如50Hz、45~65Hz或30~300Hz等,其次应确定试品的电容,试品电容可用电桥测出,也可在被试品上施加工频低压,根据测得的电压和电流(感抗和电阻的影响忽略不计)来估算。根据下列公式计算出所需电感大小。
频率计算公式:
根据上面的公式可以计算出所需电感(范围) 根据I=wCU 可以计算出试验电流。选择电压、电感、电流均符合要求的电抗器。
在试验变压器低压侧测量:对寸于一般瓷质绝缘、断路器绝缘工具等,可测区试验变压器低压侧的电压,再通过便比换算至高压侧电压这只适合与符合容量比电源容量小得多,测量准确度要求不高的情况。
用电压互感器测量:将电压互感器的一次侧并接在被试品的两端,在其二次侧测量电压,根据测得的电压和电压互感器的变比计算出计算出高压侧的电压。为保证测量的准确度,电压互感:器准确度一般不低于1级,电压表不低于0.5级。
用电容分压器测量:用电容分压器测量高压电压时最常用的方法。分压器结构简单,精度高,有的分压器具有可选择峰值读数和有效值读数的选择键,适合与现场和试验时等各种场合使用。如高压臂电容器为C1,低压电容臂为C2,串联组成那么此分压器的分压比为(C1+C2)/C1。
对于绝缘良好的被试品,在交流耐压中不应击穿,一般情况下电流突然上升,说明被试品击穿。
被试品发出击穿响声、冒烟、出气、焦糊、闪络、燃烧等都应查明原因,如确定时绝缘部分引起的,则认为被试品缺陷或击穿。被试品为有机绝缘材料时,试验后应立即触摸,如出现普遍或局部发热,则认为绝缘不良,应及时处理,处理后在做试验。
对夹层绝缘胡有机绝缘材料的设备,如果耐压后绝缘电阻比试验前下降30%,则检查该试品是否合格。
在试验过程中,若由于空气湿度、温度、表面脏污等影响,引起被试品表面滑闪或空气放电,不应该认为试品内部绝缘不合格,需经清洁、干燥处理后,再进行试验。
升压必须从零开始,不可冲击合闸。升压速度在40%试验电压以内可不受限制,其后应均匀升压速度约为每秒3%的试验电压耐压试验前后均应测量被试品的绝缘电阻。- 上一篇: SF6气体露点检测仪现场测量使用方法
- 下一篇: 串联谐振试验装置电缆交流耐压试验方案







