在电机温升试验中电机绕组温度的测量方法
电机温升试验是电机型式试验中非常重要的试验,电机温升的高低,决定着电机绝缘的使用寿命。电机温升试验中绕组温度测量的方法总得来说有温度计法、热电偶法、电阻法、埋置检温计法和双桥带电测温法五种方法。
一、温度计法测量电机绕组温度
温度计包括膨胀温度计(例如水银、酒精温度计)、半导体温度计及非埋置的热电阻或电阻温度计。温度计法是直接测定电机温度,最为简便。但是温度计仅能接触到电机各部分的表面,且测量不当的话,环境对测量结果的影响非常大。
二、热电偶法测量电机绕组温度
热电偶法是将热电偶粘贴在设备部件表面,通过温度测量仪测量设备部件表面的温度来计算出温升。用热电偶法测量温升的影响因素包括热电偶、温度测量仪、胶粘剂和测试的环境条件、试验工程师的操作水平等。
采用热电偶测量绕组的温度时应考虑,由于热电偶的读数滞后于绕组的温度变化,当电动机断电后,热电偶的温度可能还会继续上升,因此电动机绕组的温度应记录最高温度,该温度可能在断电后才能达到。
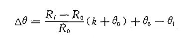
三、电阻法测量电机绕组温度
电阻法测量电机绕组温度是根据导体电阻随着温度升高而增大原理来测量的。
式中
K-----常数,对于铜K=234.5,对于铝K=228;
R0----电动机运转前所测的绕组电阻,单位为(?);
Rf----电动机额定负载运转到温度稳定后?;砩喜獬龅娜谱榈缱瑁ノ晃??);
θ0----电动机运转前绕组的温度(即环境温度)(℃);
θf----试验完毕时电动机周围的环境温度(℃),一般t2值不等于t1。
四、埋置检温计法测量电机温度
大功率电机一般都会在测温点预埋置检温计,检温元件一般有热电偶及电阻温度计等。检温计的受热端埋在槽的深处,检温计的引出端引至外面,接至测量仪表,借以读出温度。
五、双桥带电测温法测量电机温度
双桥带电测温法测量电机温度是指在不中断交变的负载电流的情况下,在负载电流上叠加一微弱直流电流,以测量绕组直流电阻随温度而发生的变化从而确定交流绕组的温升。
- 上一篇: 隔离变压器通用的防触电防护措施
- 下一篇: 兆欧表的选用方法原则及使用注意事项






