精密分压器|交直流分压器|精密数字分压器
本文主要介绍了精密分压器及其功能特点。武汉合众电气生产的FRC系列精密分压器深受用户好评,畅销全国。
精密分压器作为高电压测量之理想设备,主要用于电力系统及电气电子设备制造部门测量工频交流高电压和直流高电压。FRC系列精密分压器由高压分压器和低压显示表两部分组成,两者采用配套电缆连接使用。
武汉合众电气研发生产的FRC系列精密分压器采用精密高压薄膜电容和精密高压玻璃釉电阻进行信号采集,内部填充材料采用国外进口,使结构小,重量轻,自身局放小,FRC系列精密分压器通过仪表线与高压测量端相连,是测量交、直流高压电压的良好产品,FRC系列精密分压器可实现远距离清晰读数,使用安全、方便,并且采用特殊的屏蔽技术,减少高压对示值的影响,从而实现高稳定度,高线性度。FRC系列精密分压器(50kv交直流分压器,100kv交直流分压器,150kv交直流分压器,200kv交直流数字分压器)。
FRC系列精密分压器又称交直流数字高压分压器、交直流分压器、数字分压器、高压分压器、交直流高压分压器及数字高压分压器,武汉合众电气生产的FRC系列精密分压器用于电力系统工频交、直流高电压试验,FRC系列精密分压器电压等级为50kv、100kv、150kv及200kv,交直流数字分压器由高压分压器和低压显示表两部分组成,并用配套电缆连接使用。
精密分压器作为高电压测量之理想设备,主要用于电力系统及电气电子设备制造部门测量工频交流高电压和直流高电压。FRC系列精密分压器由高压分压器和低压显示表两部分组成,两者采用配套电缆连接使用。
武汉合众电气研发生产的FRC系列精密分压器采用精密高压薄膜电容和精密高压玻璃釉电阻进行信号采集,内部填充材料采用国外进口,使结构小,重量轻,自身局放小,FRC系列精密分压器通过仪表线与高压测量端相连,是测量交、直流高压电压的良好产品,FRC系列精密分压器可实现远距离清晰读数,使用安全、方便,并且采用特殊的屏蔽技术,减少高压对示值的影响,从而实现高稳定度,高线性度。FRC系列精密分压器(50kv交直流分压器,100kv交直流分压器,150kv交直流分压器,200kv交直流数字分压器)。
FRC系列精密分压器又称交直流数字高压分压器、交直流分压器、数字分压器、高压分压器、交直流高压分压器及数字高压分压器,武汉合众电气生产的FRC系列精密分压器用于电力系统工频交、直流高电压试验,FRC系列精密分压器电压等级为50kv、100kv、150kv及200kv,交直流数字分压器由高压分压器和低压显示表两部分组成,并用配套电缆连接使用。
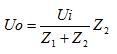
FRC系列精密分压器采用阻容分压法测量高压交直流,如图1所示。左侧是高压部分,采用阻容分压电路,由阻抗Z1和Z2两部分组成。高压Ui从上端均压球处输入,从阻抗Z2处输出低压取样信号Uo;右侧是低压显示表,用于处理低压取样信号Uo。低压取样信号Uo经整流滤波放大处理后送入低压显示表显示。高压Ui和Uo关系式如公式(1)所示:
相关设备推荐:RCF阻容分压器
- 上一篇: 用万用表准确查找电缆电线内部断点
- 下一篇: 电缆故障定位仪|地下电缆故障定位仪










